SCI期刊投稿,如何判断期刊的质量?
2024/5/14 11:22:04 阅读:156 发布者:
来源:
SCI科学引文索引(Science Citation IndexTM)是由美国科学信息研究所( ISI)的尤金·加菲尔德(Eugene Garfield)于1957 年在美国创办。SCI(科学引文索引)、EI(工程索引)、ISTP(科技会议录索引)是世界著名的三大科技文献检索系统。
SCI收录了许多学术期刊,以反映不同学科领域的研究进展和质量。那么要如何判断SCI期刊的好坏呢?主要有以下几个维度:
1、影响因子(IF)
期刊影响因子是代表期刊影响大小的一项定量指标。也就是某刊平均每篇论文的被引用数,它实际上是某刊在某年被全部源刊物引证该刊前两年发表论文的次数,与该刊前两年所发表的全部源论文数之比。它反映了期刊在过去特定年份(通常是两年)内发表的文章的平均被引用率。
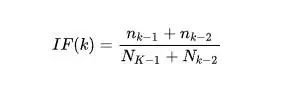
计算公式:

说明:
k 为某年,Nk-1+Nk-2 为该刊在k-1年与k-2发表的论文数量总数,nk-1 和nk-2 该刊在 k 年的被引用数量。也就是说,某刊在2005年的影响因子是其2004和2003两年刊载的论文在2005年的被引总数除以该刊在2004和2003这两年的载文总数(可引论文)。
高影响因子的期刊通常意味着具有较高的认可度和权威性。研究人员和学者倾向于选择高影响因子的期刊来发表研究论文,因为这可增加论文的可见性和影响力。
2、引文指数(Citation Index)
引文指数衡量的是期刊中文章总体被引用的次数。这个指标显示了一个期刊在学术界的整体影响力。
引用次数高的期刊表明其发表的文章质量高,能够在学术界产生重要影响,这是期刊科研水平的一个重要体现。
3、H指数(H-index)
H指数是一种量化研究成果影响力的指标,它是指一个学者(或期刊、机构等)发表的N篇文章中,有N篇被引用了至少N次。
对于期刊而言,较高的H指数表明其发表的论文在长时间内持续受到认可和引用。这样的期刊通常代表了该领域内的领先水平。
4、SCI期刊出版商
每本SCI期刊都有其出版商,如科睿唯安、爱思唯尔、MPDI等。可以根据出版商的影响力及声誉,初步判断期刊质量,但并不绝对。比如大家认为爱思唯尔的SCI期刊质量高于MPDI的。
5、文章质量
查看期刊的审查制度:严格的同行评审流程是确保文章质量的关键。期刊的同行评审制度是否透明和公正,直接影响到期刊的学术声誉。
另外还需查看期刊编辑委员会,委员会的组成对于保障期刊质量至关重要。一流的编辑委员会通常包括该领域内的顶尖学者,他们能够准确把握学术趋势并保证内容的高质量。
6、出版速度
期刊的出版速度指从文章提交到最终决议的周期时间。快速的审稿和出版流程可以更快地推广研究成果,对于研究人员来说,能够迅速获得反馈和认可极为重要。
7、接受率
期刊接受率是指向期刊提交的稿件中有多少比例被接受发表。较低的接受率通常表示期刊在选拔稿件上更加严格,也意味着发表在该期刊上的研究具有较高的质量标准。
8、开放获取(Open Access)
开放获取指的是文章发布后,广泛的公众可以免费访问这些学术成果。开放获取可以极大地增加论文的可见性,促进知识的快速传播和更广泛的学术交流,有助于科学知识的普及和应用。
9、国际化和包容性
国际化程度表现为期刊在全球范围内的影响力,以及能够吸引来自不同国家和背景的顶尖学者投稿。国际化高的期刊通常具有广泛的读者和作者基础,它们能够促进跨国和跨学科的学术合作,从而推动整个学术界的发展。
总而言之,评价SCI期刊的好坏需要从多个方面考虑,包括影响因子、引文指数、文章质量、审查速度和国际化程度等。对于发表SCI论文的作者而言,选择合适的期刊投稿不仅关乎研究的学术影响力,也关联到研究者的职业发展。建议各位作者在选择期刊时考量期刊的各个方面,确保选择最符合自己研究方向和期望的SCI期刊。
转自至新Bio微信公众号,仅作学习交流,如有侵权,请联系本站删除!